切换至 "中华医学电子期刊资源库"

中华脑科疾病与康复杂志(电子版) ›› 2025, Vol. 15 ›› Issue (06) : 333 -341. doi: 10.3877/cma.j.issn.2095-123X.2025.06.003

临床研究

重度椎-基底动脉狭窄患者经皮支架植入术后定量脑电图特征研究
牟兰1, 崔砚2, 王琪3, 徐如祥2, 王振宇2, 刘洁1,()   
  1. 1646000 四川泸州,西南医科大学临床医学院神经内科
    2610072 成都,四川省医学科学院·四川省人民医院神经外科
    3610072 成都,四川省医学科学院·四川省人民医院神经内科
  • 收稿日期:2025-03-23 出版日期:2025-12-15
  • 通信作者: 刘洁

Assessment of postoperative quantitative EEG patterns following percutaneous stenting for severe vertebrobasilar artery stenosis

Lan Mou1, Yan Cui2, Qi Wang3, Ruxiang Xu2, Zhenyu Wang2, Jie Liu1,()   

  1. 1Department of Neurology, School of Clinical Medicine, Southwest Medical University, Luzhou 646000, China
    2Department of Neurosurgery, Sichuan Academy of Medical Sciences & Sichuan Provincial People's Hospital, Chengdu 610072, China
    3Department of Neurology, Sichuan Academy of Medical Sciences & Sichuan Provincial People's Hospital, Chengdu 610072, China
  • Received:2025-03-23 Published:2025-12-15
  • Corresponding author: Jie Liu
  • Supported by:
    Sichuan Provincial Natural Science Foundation (Youth Foundation)(2023NSFSC1595); Sichuan Provincial Cadre Healthcare Research Project (Popularization and Application Project)(Chuanganyan 2024-209)
引用本文:

牟兰, 崔砚, 王琪, 徐如祥, 王振宇, 刘洁. 重度椎-基底动脉狭窄患者经皮支架植入术后定量脑电图特征研究[J/OL]. 中华脑科疾病与康复杂志(电子版), 2025, 15(06): 333-341.

Lan Mou, Yan Cui, Qi Wang, Ruxiang Xu, Zhenyu Wang, Jie Liu. Assessment of postoperative quantitative EEG patterns following percutaneous stenting for severe vertebrobasilar artery stenosis[J/OL]. Chinese Journal of Brain Diseases and Rehabilitation(Electronic Edition), 2025, 15(06): 333-341.

目的

分析重度椎-基底动脉(VBA)狭窄患者的术前静息态脑电特征与认知功能的相关性,探讨经皮支架植入术(PTAS)后脑电特征的变化规律,进一步推测介入治疗后早期脑网络重塑的潜在机制。

方法

选取自2023年10月至2024年10月于四川省人民医院神经内科实施PTAS的33例重度VBA狭窄患者为病例组,按1∶1从本科室数据库中选取2023—2024年年龄、性别与病例组匹配的受试者作为对照组。术前采用简易智力状态检查(MMSE)及蒙特利尔认知评估量表(MoCA)评估2组受试者的认知功能;病例组患者于PTAS术前及术后1周完成静息态脑电图(EEG)检查,通过定量分析比较手术前后各频段功率谱及脑网络拓扑属性的变化。将病例组术前的定量EEG指标与其认知评分进行相关性分析,探讨脑电生理特征与认知状态之间的潜在关联。

结果

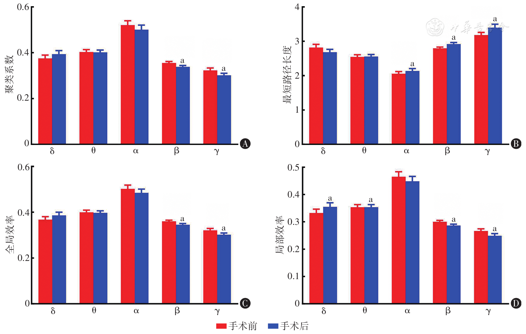
2组受试者的MMSE评分的总分和即刻与延迟记忆力、地点定向力、语言及视空间等,以及MoCA评分的总分和视空间与执行能力、命名能力、读敲能力、语言能力、抽象思维、延迟回忆及定向力比较,差异均有统计学意义(P<0.05)。术后1周,患者在α、β、γ频段的脑电活动功率较术前降低,同时脑网络最短路径长度在α、β、γ频段显著增加,聚类系数、全局效率和局部效率在β、γ频段显著降低,差异均有统计学意义(P<0.05)。θ频段网络属性与认知评分(MMSE、MoCA)均显著相关(P<0.05)。

结论

重度VBA狭窄患者术后脑电活动有显著变化,低频δ频段振荡的减弱可能提示短期内PTAS后患者认知功能的变化,并通过增强脑区连接促进大脑恢复。定量EEG分析可为重度VBA狭窄患者的术后认知功能监测和康复治疗提供了新的理论依据。

Objective

To analyze the correlation between the preoperative resting-state electroencephalogram (EEG) features and cognitive function in patients with severe vertebrobasilar artery (VBA) stenosis, explore the changes in EEG features after percutaneous transluminal angioplasty and stenting (PTAS), and further infer the potential mechanism of early brain network remodeling after interventional treatment.

Methods

Thirty-three patients with severe VBA stenosis who underwent PTAS in the Neurology Department of Sichuan Provincial People's Hospital from October 2023 to October 2024 were selected as the case group. A control group was selected from the department's database at a 1∶1 ratio, matching the case group in terms of age and gender from 2023 to 2024. The cognitive function of both groups was evaluated using the mini-mental state examination (MMSE) and the Montreal cognitive assessment (MoCA) before the operation. The case group underwent resting-state EEG examinations before and one week after PTAS. Quantitative analysis was conducted to compare the changes in power spectra and brain network topological properties in different frequency bands before and after the operation. Correlation analysis was performed between the quantitative EEG indicators of the case group before the operation and their cognitive scores to explore the potential association between EEG physiological characteristics and cognitive status.

Results

There were statistically significant differences in the total scores and sub-scores of MMSE (memory, orientation, language, and visuospatial ability) and MoCA (visuospatial and executive function, naming, reading, language, abstraction, delayed recall, and orientation) between the two groups (P<0.05). One week after the operation, the power of EEG activity in the α, β, and γ frequency bands decreased compared with that before the operation, while the shortest path length of the brain network in the α, β, and γ frequency bands significantly increased, and the clustering coefficient, global efficiency, and local efficiency in the β and γ frequency bands significantly decreased (P<0.05). The network properties in the θ frequency band were significantly correlated with cognitive scores (MMSE and MoCA) (P<0.05).

Conclusions

There are significant changes in EEG activity in patients with severe VBA stenosis after PTAS. The weakening of low-frequency δ band oscillations may indicate changes in cognitive function in the short term after PTAS, and promote brain recovery by enhancing brain region connections. Quantitative EEG analysis provides a new theoretical basis for postoperative cognitive function monitoring and rehabilitation treatment in patients with severe VBA stenosis.

表1 2组受试者的认知功能比较[分,MP25P75)]
Tab.1 Comparison of cognitive function between the control group and the observation group [score, M(P25, P75)]
图1 重度VBA狭窄患者经皮支架植入术前及术后1周内的功率谱密度差异A:全脑平均功率谱密度;B:不同频段下全脑平均功率谱密度;与同一频段手术前比较,aP<0.05;VBA:椎-基底动脉
Fig.1 Power spectral density differences in patients with severe VBA stenosis before and within one week after percutaneous transluminal angioplasty with stenting
图2 重度VBA狭窄患者经皮支架植入术后1周内不同频段的功能网络拓扑结构图红色代表连接性增强,蓝色代表连接性减弱;VBA:椎-基底动脉
Fig.2 Functional network topological structure diagram of different frequency bands within one week after percutaneous transluminal angioplasty with stenting in patients with severe VBA stenosis
图3 重度VBA狭窄患者手术前后功能网络属性差异A:聚类系数;B:最短路径长度;C:全局效率;D:局部效率;与同一频段手术前比较,aP<0.05;VBA:椎-基底动脉
Fig.3 Comparative analysis of functional network properties in patients with severe VBA stenosis before and after surgery
图4 重度VBA狭窄患者术前功能网络属性与认知评分的相关性分析拟合图A:MMSE、MoCA评分与θ频段聚类系数的相关性;B:MMSE、MoCA评分与θ频段最短路径长度的相关性;C:MMSE、MoCA评分与θ频段全局效率的相关性;D:MMSE、MoCA评分与θ频段局部效率的相关性;MMSE:简易智力状态检查;MoCA:蒙特利尔认知评估量表;VBA:椎-基底动脉
Fig.4 Correlation analysis and fitting plot between preoperative functional network properties and cognitive scale scores in patients with severe VBA stenosis
[1]
Samaniego EA, Shaban A, Ortega-Gutierrez S, et al. Stroke mechanisms and outcomes of isolated symptomatic basilar artery stenosis[J]. Stroke Vasc Neurol, 2019, 4(4): 189-197. DOI: 10.1136/svn-2019-000246.
[2]
Madonis SM, Jenkins JS. Vertebral artery stenosis[J]. Prog Cardiovasc Dis, 2021, 65: 55-59. DOI: 10.1016/j.pcad.2021.02.006.
[3]
Zhang W, Fu W, Zhang Y. Association of cerebral hypoperfusion and poor collaterals with cognitive impairment in patients with severe vertebrobasilar artery stenosis[J]. J Alzheimers Dis Rep, 2024, 8(1): 999-1007. DOI: 10.3233/adr-240007.
[4]
Yin L, Zhao XX, Gao SL, et al. Analysis of the correlations between the extracranial internal carotid artery and extracranial vertebral artery and mild cognitive impairment[J]. Technol Health Care, 2024, 32(1): 467-479. DOI: 10.3233/thc-230677.
[5]
Wolters FJ, Ikram MA. Epidemiology of vascular dementia[J]. Arterioscler Thromb Vasc Biol, 2019, 39(8): 1542-1549. DOI: 10.1161/atvbaha.119.311908.
[6]
Tubi MA, Feingold FW, Kothapalli D, et al. White matter hyperintensities and their relationship to cognition: effects of segmentation algorithm[J]. Neuroimage, 2020, 206: 116327. DOI: 10.1016/j.neuroimage.2019.116327.
[7]
Lowry E, Puthusseryppady V, Johnen AK, et al. Cognitive and neuroimaging markers for preclinical vascular cognitive impairment[J]. Cereb Circ Cogn Behav, 2021, 2: 100029. DOI: 10.1016/j.cccb.2021.100029.
[8]
Torres-Simón L, Doval S, Nebreda A, et al. Understanding brain function in vascular cognitive impairment and dementia with EEG and MEG: a systematic review[J]. Neuroimage Clin, 2022, 35: 103040. DOI: 10.1016/j.nicl.2022.103040.
[9]
Moretti DV, Miniussi C, Frisoni G, et al. Vascular damage and EEG markers in subjects with mild cognitive impairment[J]. Clin Neurophysiol, 2007, 118(8): 1866-1876. DOI: 10.1016/j.clinph.2007.05.009.
[10]
van Stigt MN, Groenendijk EA, van de Munckhof A, et al. Correlation between EEG spectral power and cerebral perfusion in patients with acute ischemic stroke[J]. J Clin Neurosci, 2023, 116: 81-86. DOI: 10.1016/j.jocn.2023.08.021.
[11]
Azami H, Zrenner C, Brooks H, et al. Beta to theta power ratio in EEG periodic components as a potential biomarker in mild cognitive impairment and Alzheimer's dementia[J]. Alzheimers Res Ther, 2023, 15(1): 133. DOI: 10.1186/s13195-023-01280-z.
[12]
Zeng Y, Lao J, Wu Z, et al. Altered resting-state brain oscillation and the associated cognitive impairments in late-life depression with different depressive severity: an EEG power spectrum and functional connectivity study[J]. J Affect Disord, 2024, 348: 124-134. DOI: 10.1016/j.jad.2023.10.157.
[13]
Gupta A, Siddhad G, Pandey V, et al. Subject-specific cognitive workload classification using EEG-based functional connectivity and deep learning[J]. Sensors (Basel), 2021, 21(20): 6710. DOI: 10.3390/s21206710.
[14]
Gómez-Lombardi A, Costa BG, Gutiérrez PP, et al. The cognitive triad network-oscillation - behaviour links individual differences in EEG theta frequency with task performance and effective connectivity[J]. Sci Rep, 2024, 14(1): 21482. DOI: 10.1038/s41598-024-72229-x.
[15]
Hervé E, Mento G, Desnous B, et al. Challenges and new perspectives of developmental cognitive EEG studies[J]. Neuroimage, 2022, 260: 119508. DOI: 10.1016/j.neuroimage.2022.119508.
[16]
Cameron J, Worrall-Carter L, Page K, et al. Screening for mild cognitive impairment in patients with heart failure: Montreal cognitive assessment versus mini mental state exam[J]. Eur J Cardiovasc Nurs, 2013, 12(3): 252-260. DOI: 10.1177/1474515111435606.
[17]
Yousefi MR, Khanahmadi N, Dehghani A. Utilizing phase locking value to determine neurofeedback treatment responsiveness in attention deficit hyperactivity disorder[J]. J Integr Neurosci, 2024, 23(6): 121. DOI: 10.31083/j.jin2306121.
[18]
Gorelick PB, Scuteri A, Black SE, et al. Vascular contributions to cognitive impairment and dementia: a statement for healthcare professionals from the American heart association/American stroke association[J]. Stroke, 2011, 42(9): 2672-2713. DOI: 10.1161/STR.0b013e3182299496.
[19]
Tscherpel C, Dern S, Hensel L, et al. Brain responsivity provides an individual readout for motor recovery after stroke[J]. Brain, 2020, 143(6): 1873-1888. DOI: 10.1093/brain/awaa127.
[20]
Liu M, Nie ZY, Li RR, et al. Correlation of brain perfusion with white matter hyperintensity, brain atrophy, and cognition in patients with posterior cerebral artery stenosis and subjective cognitive decline[J]. Med Sci Monit, 2018, 24: 5729-5738. DOI: 10.12659/msm.909188.
[21]
Ruitenberg A, den Heijer T, Bakker SL, et al. Cerebral hypoperfusion and clinical onset of dementia: the Rotterdam study[J]. Ann Neurol, 2005, 57(6): 789-794. DOI: 10.1002/ana.20493.
[22]
吉莉,苏云楠,王斌,等.急性缺血性脑卒中患者脑白质微结构改变对长期认知功能损伤的预测价值研究[J].中华脑科疾病与康复杂志(电子版), 2024, 14(4): 193-200. DOI: 10.3877/cma.j.issn.2095-123X.2024.04.001.
[23]
Kumral E, Zirek O. Major neurocognitive disorder followıng isolated hippocampal ischemıc lesions[J]. J Neurol Sci, 2017, 372: 496-500. DOI: 10.1016/j.jns.2016.11.001.
[24]
Kumral E, Deveci EE, Erdoğan C, et al. Isolated hippocampal infarcts: vascular and neuropsychological findings[J]. J Neurol Sci, 2015, 356(1-2): 83-89. DOI: 10.1016/j.jns.2015.06.011.
[25]
Park KC, Yoon SS, Rhee HY. Executive dysfunction associated with stroke in the posterior cerebral artery territory[J]. J Clin Neurosci, 2011, 18(2): 203-208. DOI: 10.1016/j.jocn.2010.05.026.
[26]
Martin T, Kero K, Požar R, et al. Mild cognitive impairment in African Americans is associated with differences in EEG theta/beta ratio[J]. J Alzheimers Dis, 2023, 94(1): 347-357. DOI: 10.3233/jad-220981.
[27]
Torpil B, Şahin S, Pekçetin S, et al. The effectiveness of a virtual reality-based intervention on cognitive functions in older adults with mild cognitive impairment: a single-blind, randomized controlled trial[J]. Games Health J, 2021, 10(2): 109-114. DOI: 10.1089/g4h.2020.0086.
[28]
van Son D, de Rover M, De Blasio FM, et al. Electroencephalography theta/beta ratio covaries with mind wandering and functional connectivity in the executive control network[J]. Ann N Y Acad Sci, 2019, 1452(1): 52-64. DOI: 10.1111/nyas.14180.
[29]
Willert C, Schaumann-Kuchling C, Adamaszek M, et al. Neuropsychological dysfunction after cerebellar stroke[J]. Nervenarzt, 2005, 76(8): 988-991. DOI: 10.1007/s00115-004-1869-2.
[30]
Al-Qazzaz NK, Ali S, Ahmad SA, et al. Discrimination of stroke-related mild cognitive impairment and vascular dementia using EEG signal analysis[J]. Med Biol Eng Comput, 2018, 56(1): 137-157. DOI: 10.1007/s11517-017-1734-7.
[31]
Yanagisawa T, Yamashita O, Hirata M, et al. Regulation of motor representation by phase-amplitude coupling in the sensorimotor cortex[J]. J Neurosci, 2012, 32(44): 15467-15475. DOI: 10.1523/jneurosci.2929-12.2012.
[32]
Ye Q, Zhu H, Chen H, et al. Effects of cognitive reserve proxies on cognitive function and frontoparietal control network in subjects with white matter hyperintensities: a cross-sectional functional magnetic resonance imaging study[J]. CNS Neurosci Ther, 2022, 28(6): 932-941. DOI: 10.1111/cns.13824.
[33]
Chen H, Zhu H, Huang L, et al. The flexibility of cognitive reserve in regulating the frontoparietal control network and cognitive function in subjects with white matter hyperintensities[J]. Behav Brain Res, 2022, 425: 113831. DOI: 10.1016/j.bbr.2022.113831.
[34]
Munro CE, Donovan NJ, Guercio BJ, et al. Neuropsychiatric symptoms and functional connectivity in mild cognitive impairment [J]. J Alzheimers Dis, 2015, 46(3): 727-735. DOI: 10.3233/jad-150017.
[35]
Sadaghiani S, Kleinschmidt A. Brain networks and α-oscillations: structural and functional foundations of cognitive control[J]. Trends Cogn Sci, 2016, 20(11): 805-817. DOI: 10.1016/j.tics.2016.09.004.
[36]
Ma K, Zhang X, Song C, et al. Altered topological properties and their relationship to cognitive functions in unilateral temporal lobe epilepsy[J]. Epilepsy Behav, 2023, 144: 109247. DOI: 10.1016/j.yebeh.2023.109247.
[37]
De Roeck L, Blommaert J, Dupont P, et al. Brain network topology and its cognitive impact in adult glioma survivors[J]. Sci Rep, 2024, 14(1): 12782. DOI: 10.1038/s41598-024-63716-2.
[38]
Xin X, Duan F, Kranz GS, et al. Functional network characteristics based on EEG of patients in acute ischemic stroke: a pilot study[J]. NeuroRehabilitation, 2022, 51(3): 455-465. DOI: 10.3233/nre-220107.
[1] 王冉, 陈家禾, 张旭阳, 马建, 郭永坤, 周少龙, 王新军. HMGB1抑制剂在TBI大鼠认知障碍中的作用及机制[J/OL]. 中华神经创伤外科电子杂志, 2025, 11(05): 290-297.
[2] 吉莉, 苏云楠, 王斌, 沈滔, 刘团结, 毛蕾, 徐玉萍, 张婷, 王博. 急性缺血性脑卒中患者脑白质微结构改变对长期认知功能损伤的预测价值研究[J/OL]. 中华脑科疾病与康复杂志(电子版), 2024, 14(04): 193-200.
[3] 高倩, 李晓芳, 杨亚昭, 张静, 崔蕾, 杨立青, 夏艳敏. 甲状腺激素及Apelin在CSVD致认知障碍的研究进展[J/OL]. 中华临床医师杂志(电子版), 2024, 18(02): 201-206.
[4] 麻凯璇, 谷文龙, 张丽丽, 杜宇征. 《国际中医技术操作规范 调神益智针刺法治疗中风后轻度认知障碍》解读[J/OL]. 中华针灸电子杂志, 2025, 14(04): 173-176.
[5] 毛文惠, 宋佳丽, 陈晓琳, 张丽丽, 王舒. 基于脑-肠轴探讨调神益智针刺法治疗卒中后认知障碍的中医理论依据[J/OL]. 中华针灸电子杂志, 2025, 14(02): 54-57.
[6] 方世元, 沙宇惠, 孙淦, 倪俊, 彭斌. 脑淀粉样血管病脑内铁沉积特征及其与认知障碍的相关性[J/OL]. 中华脑血管病杂志(电子版), 2025, 19(04): 284-289.
[7] 刘万虎, 步玮, 董玉娟, 李文君, 贾亚南, 刘翠翠, 任慧玲. 脑小血管病患者步态障碍及认知障碍与神经影像学特征的相关性[J/OL]. 中华脑血管病杂志(电子版), 2025, 19(03): 198-206.
[8] 韩琪, 温田思宇, 肖以钦, 崔梅. 视网膜厚度与脑小血管病认知障碍的相关性[J/OL]. 中华脑血管病杂志(电子版), 2025, 19(02): 109-114.
[9] 程安琪, 邹胤曦, 司倩倩, 范晓媛, 张晓倩, 李明利, 冯逢, 刘彩燕, 徐蔚海. 无症状大脑后动脉粥样硬化性狭窄与认知功能的关系[J/OL]. 中华脑血管病杂志(电子版), 2025, 19(02): 94-99.
[10] 杜润宜, 张玉梅, 刘利鹏, 公维军. 认知-运动双重任务训练对卒中后认知障碍的影响[J/OL]. 中华脑血管病杂志(电子版), 2025, 19(02): 87-93.
[11] 李雯婷, 高聪, 廖晓凌. 卒中后认知障碍的危险因素及临床预测模型的研究进展[J/OL]. 中华脑血管病杂志(电子版), 2025, 19(02): 81-86.
[12] 夏禹, 刘寒, 朱瑞. 脑小血管病及其认知障碍研究进展[J/OL]. 中华脑血管病杂志(电子版), 2025, 19(02): 155-160.
[13] 吴婷婷, 张薇, 何雅琪, 沈海清, 路敬叶, 张艳. 老年缺血性脑卒中患者早发型卒中后认知障碍发生情况及其影响因素分析[J/OL]. 中华脑血管病杂志(电子版), 2024, 18(06): 573-579.
[14] 吴亚琨, 冯凯, 于海华. 数字疗法对非痴呆型脑小血管病认知障碍患者认知功能、日常生活能力及生活质量的影响[J/OL]. 中华脑血管病杂志(电子版), 2024, 18(06): 535-541.
[15] 欧春影, 李晓宾, 郭靖, 许可, 王梦, 安晓雷. hs-CRP、Lp-PLA2和S100β与缺血性脑小血管病患者认知障碍的相关性[J/OL]. 中华脑血管病杂志(电子版), 2024, 18(03): 265-269.
阅读次数
全文


摘要


AI


AI小编
你好!我是《中华医学电子期刊资源库》AI小编,有什么可以帮您的吗?